Shopping Cart
- Remove All
 Your shopping cart is currently empty Your shopping cart is currently empty
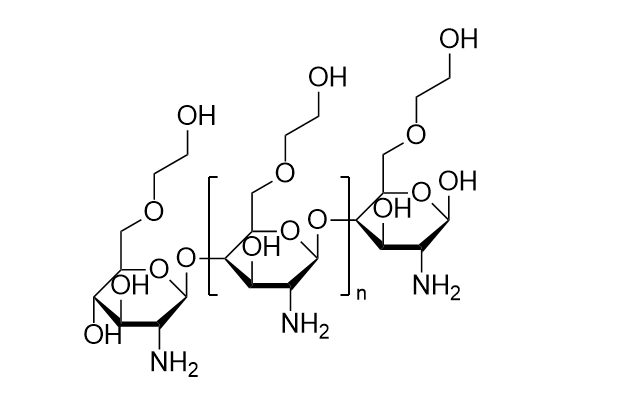
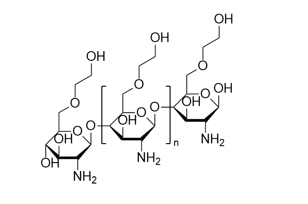
Glycol chitosan, a chitosan derivative with hydrophilic ethylene glycol branches, inhibits E. coli, S. aureus, and S. enteritidis growth (MICs: 4 μg/mL, 32 μg/mL, and <0.5 μg/mL), and enhances membrane permeability and leakage in Glycine max [Harosoy 63W] cells.

| Pack Size | Price | Availability | Quantity | 
|---|---|---|---|
| 100 mg | $40 | In Stock | 
| Description | Glycol chitosan, a chitosan derivative with hydrophilic ethylene glycol branches, inhibits E. coli, S. aureus, and S. enteritidis growth (MICs: 4 μg/mL, 32 μg/mL, and <0.5 μg/mL), and enhances membrane permeability and leakage in Glycine max [Harosoy 63W] cells. | 
| Targets&IC50 |  S. aureus: 32 μg/mL , S. enteritidis:<0.5 μg/mL , E. coli:(MIC)4 μg/mL  | 
| In vitro | The hydrophobic modification of Glycol chitosan has been validated, with derivatives such as Glycol chitosan with a 5β-cholanic acid moiety and deoxycholic acid-Glycol chitosan, capable of self-assembling into nanoparticles, demonstrating potential as carriers for hydrophobic drugs and genes [2]. Glycol chitosan can be covalently bonded with hydrophobic drugs to create amphiphilic compounds that form nanoparticles (NPs) useful in cell imaging and drug delivery. These derivatives are effectively utilized to transport antimicrobial and anticancer agents, employing either physical encapsulation or chemical conjugation methods. Glycol chitosan derivatives are advantageous for cell imaging and drug delivery due to their exceptional tumor-targeting capabilities stemming from the enhanced permeability and retention (EPR) effect, minimal cytotoxicity, chemical modifiability, high biocompatibility, and degradability [1]. | 
| Cas No. | 123938-86-3 | 
| Relative Density. | no data available | 
| Color | Yellow | 
| Appearance | Solid | 
| Storage | Powder: -20°C for 3 years | In solvent: -80°C for 1 year | 
| Solubility Information | H2O: 7.5 mg/mL, Sonication is recommended.  DMSO: 11.67 mg/mL, Sonication is recommended.  | 
 For example, your dosage is 10 mg/kg Each animal weighs 20 g, and the dosage volume is 100 μL .
For example, your dosage is 10 mg/kg Each animal weighs 20 g, and the dosage volume is 100 μL .  A total of 10 animals were administered, and the formula you used is 5%
 A total of 10 animals were administered, and the formula you used is 5%  DMSO+30% PEG300+5% Tween 80+60% Saline/PBS/ddH2O. So your working solution concentration is 2 mg/mL。
DMSO+30% PEG300+5% Tween 80+60% Saline/PBS/ddH2O. So your working solution concentration is 2 mg/mL。 (mother liquor concentration of 40 mg/mL), if you need to configure a concentration that exceeds the solubility of the product, please contact us first.
 (mother liquor concentration of 40 mg/mL), if you need to configure a concentration that exceeds the solubility of the product, please contact us first. main solution, add 300 μLPEG300
 main solution, add 300 μLPEG300 mix well and clarify, then add 50 more μL Tween 80, mix well and clarify, then add 600 more μLSaline/PBS/ddH2O
 mix well and clarify, then add 50 more μL Tween 80, mix well and clarify, then add 600 more μLSaline/PBS/ddH2O mix well and clarify
 mix well and clarify
Copyright © 2015-2025 TargetMol Chemicals Inc. All Rights Reserved.